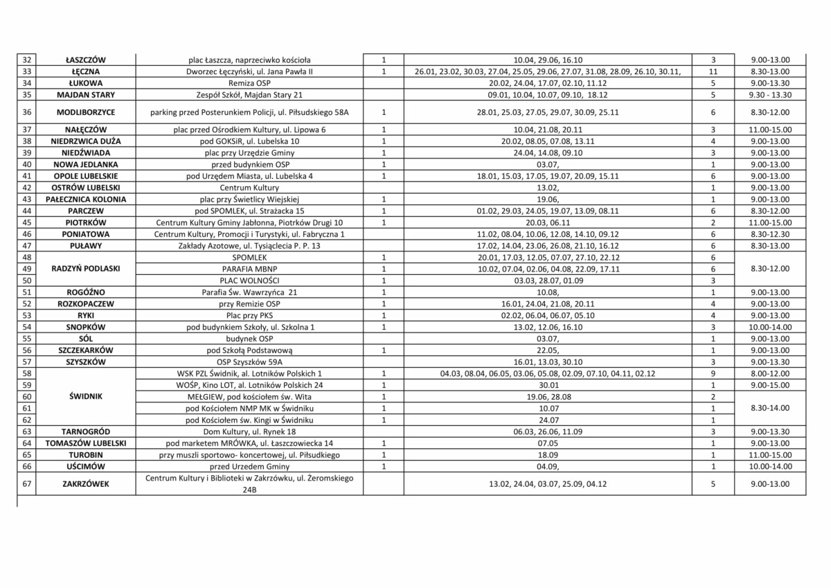
W imieniu Regionalnego Centrum Krwiodawstwa i Krwiolecznictwa w Lublinie przedstawiamy Państwu materiały promocyjno-edukacyjne o idei Honorowego Krwiodawstwa a także harmonogram stałych akcji terenowego poboru krwi na terenie województwa lubelskiego 2022 roku.
W Urszulinie, niestety, ambulans z RCKiK nie pojawi się w bieżącym roku.






















































Musisz być zalogowany, aby dodać komentarz.